Kết quả tìm kiếm
Xem tất cả kết quả
Tham gia
Đăng nhập
Đăng ký
Chế độ ban đêm
Kho tài liệu
Tìm kiếm
Tài liệu
Tất cả
Y HỌC CƠ SỞ
NỘI KHOA
NHI KHOA
NGOẠI KHOA
SẢN KHOA
Y HỌC CỔ TRUYỀN
CẬN LÂM SÀNG
KHÁC
THPT
Cuối cùng
Cuối cùng
Giá cao
Giá thấp
Sản phẩm
1xu
Xem thêm
Bài tập phương trình đường thẳng nâng cao
Mới
0.95Mb
Xem tài liệu
1xu
Xem thêm
Viết phương trình mặt cầu
Mới
0.86Mb
Xem tài liệu
1xu
Xem thêm
Bài toán tìm hình chiếu của điểm trên mặt phẳng tọa độ
Mới
0.85Mb
Xem tài liệu
1xu
Xem thêm
Xác định tâm, bán kính, diện tích và thể tích của mặt cầu
Mới
0.91Mb
Xem tài liệu
1xu
Xem thêm
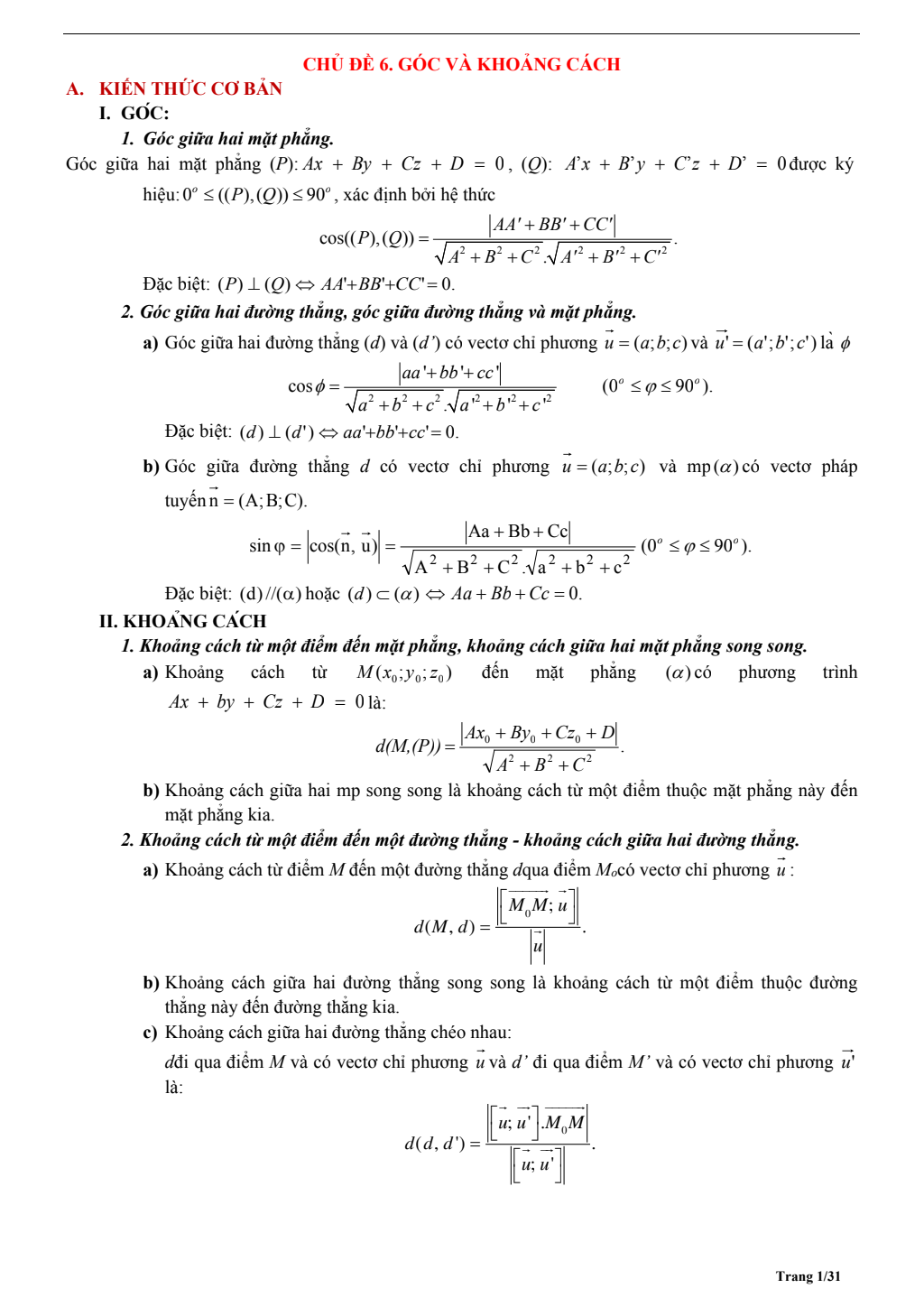
Tóm tắt lý thuyết và bài tập trắc nghiệm góc và khoảng cách
Mới
0.68Mb
Xem tài liệu
1xu
Xem thêm
Tóm tắt lý thuyết và bài tập trắc nghiệm tọa độ trong không gian
Mới
0.59Mb
Xem tài liệu
1xu
Xem thêm
Tóm tắt lý thuyết và bài tập trắc nghiệm phương trình đường thẳng
Mới
0.69Mb
Xem tài liệu
1xu
Xem thêm
Tóm tắt lý thuyết và bài tập trắc nghiệm phương trình mặt phẳng
Mới
0.80Mb
Xem tài liệu
1xu
Xem thêm
Tóm tắt lý thuyết và bài tập trắc nghiệm phương trình mặt cầu
Mới
0.98Mb
Xem tài liệu
1xu
Xem thêm
Tóm tắt lý thuyết và bài tập trắc nghiệm vị trí tương đối
Mới
0.59Mb
Xem tài liệu
1xu
Xem thêm
50 bài tập trắc nghiệm sử dụng phương pháp tọa độ giải bài toán hình học không gian
Mới
1.53Mb
Xem tài liệu
1xu
Xem thêm
Chuyên đề phương pháp tọa độ trong không gian
Mới
03.01Mb
Xem tài liệu
Đang hiển thị (1117-1128 của 3654)
«
Trước đó
92
93
94
95
96
Kế tiếp
»