Kết quả tìm kiếm
Xem tất cả kết quả
Tham gia
Đăng nhập
Đăng ký
Chế độ ban đêm
Kho tài liệu
Tìm kiếm
Tài liệu
Tất cả
Y HỌC CƠ SỞ
NỘI KHOA
NHI KHOA
NGOẠI KHOA
SẢN KHOA
Y HỌC CỔ TRUYỀN
CẬN LÂM SÀNG
KHÁC
THPT
Cuối cùng
Cuối cùng
Giá cao
Giá thấp
Sản phẩm
1xu
Xem thêm
Chuyên đề bất phương trình bậc hai một ẩn Toán 10 Chân Trời Sáng Tạo
Mới
2.17Mb
Xem tài liệu
1xu
Xem thêm
Chủ đề dấu tam thức bậc hai Toán 10 KNTTVCS – Lê Bá Bảo
Mới
1.29Mb
Xem tài liệu
1xu
Xem thêm
Phân dạng và bài tập Toán 10- Hàm số, đồ thị và ứng dụng – Diệp Tuân
Mới
4.93Mb
Xem tài liệu
1xu
Xem thêm
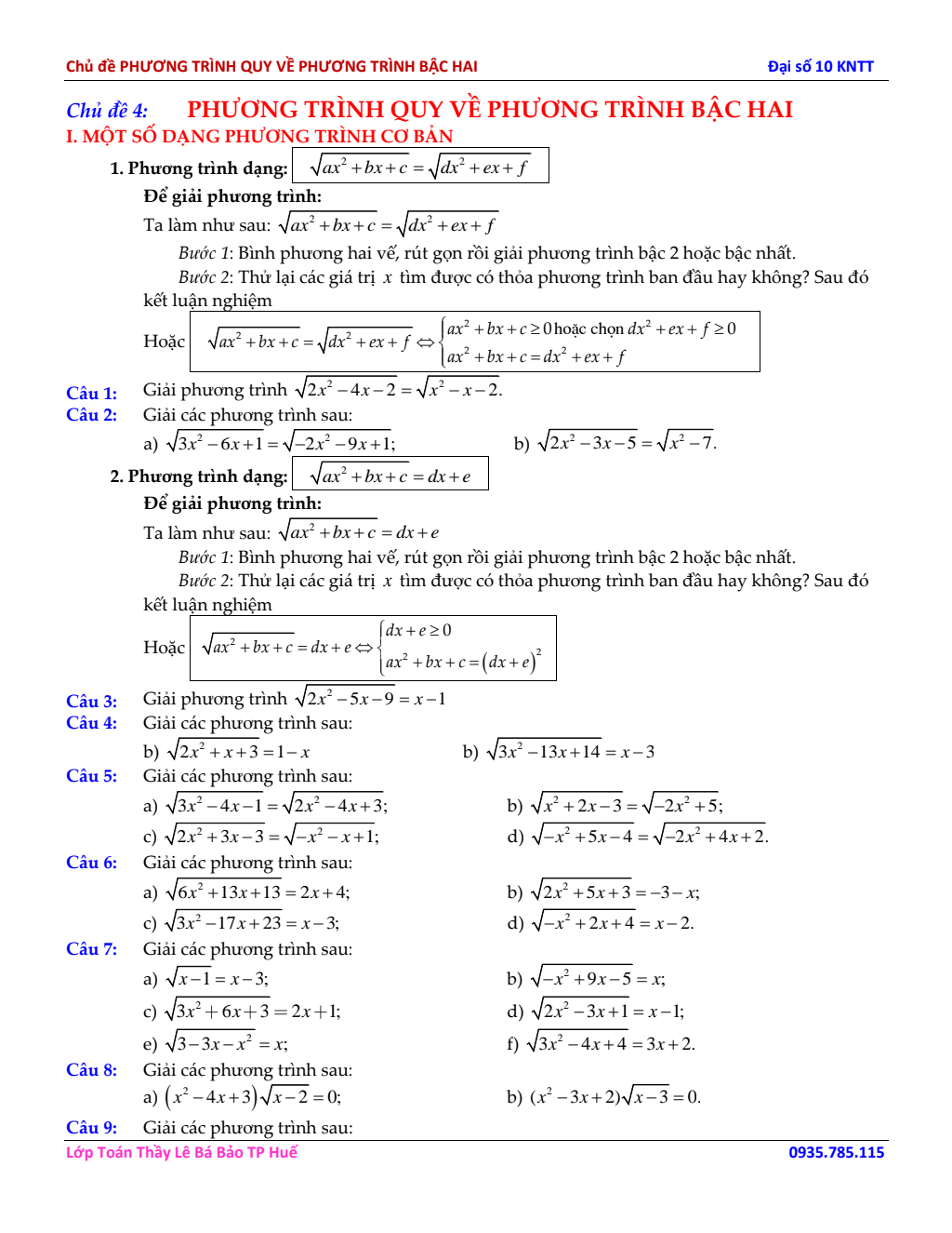
Chủ đề phương trình quy về phương trình bậc hai Toán 10 KNTTVCS
Mới
1.25Mb
Xem tài liệu
1xu
Xem thêm
Bài tập VD – VDC chuyên đề hàm số, hàm số bậc hai và tam thức bậc hai
Mới
1.58Mb
Xem tài liệu
1xu
Xem thêm
Bài tập hàm số và đồ thị Toán 10 Cánh Diều
Mới
6.50Mb
Xem tài liệu
1xu
Xem thêm
Phân dạng và bài tập hàm số và đồ thị
Mới
3.55Mb
Xem tài liệu
1xu
Xem thêm
Phân dạng và bài tập bất phương trình bậc hai một ẩn
Mới
3.00Mb
Xem tài liệu
1xu
Xem thêm
Hệ thống bài tập trắc nghiệm đại cương hàm số, đồ thị Toán 10 cơ bản – VD – VDC
Mới
2.14Mb
Xem tài liệu
1xu
Xem thêm
Phân dạng bài tập dấu tam thức bậc hai, BPT bậc hai một ẩn cơ bản – VD – VDC
Mới
0.83Mb
Xem tài liệu
1xu
Xem thêm
Hệ thống bài tập trắc nghiệm hàm số bậc hai cơ bản – vận dụng – vận dụng cao
Mới
0.98Mb
Xem tài liệu
1xu
Xem thêm
Phân dạng bài tập hàm số bậc hai cơ bản – vận dụng – vận dụng cao
Mới
01.01Mb
Xem tài liệu
Đang hiển thị (577-588 của 3654)
«
Trước đó
47
48
49
50
51
Kế tiếp
»