Cộng Đồng Y Khoa Việt Nam-  Tài Liệu, Case Lâm Sàng, Hỏi Đáp Cộng Đồng Y Khoa Việt Nam-  Tài Liệu, Case Lâm Sàng, Hỏi Đáp
Kết quả tìm kiếm
Xem tất cả kết quả
  • Tham gia
    Đăng nhập
    Đăng ký
    Chế độ ban đêm

Kho tài liệu

  • Tài liệu
  • Tất cả
  • Y HỌC CƠ SỞ
  • NỘI KHOA
  • NHI KHOA
  • NGOẠI KHOA
  • SẢN KHOA
  • Y HỌC CỔ TRUYỀN
  • CẬN LÂM SÀNG
  • KHÁC
  • THPT
Cuối cùng Giá cao Giá thấp
Sản phẩm
1xu
Xem thêm
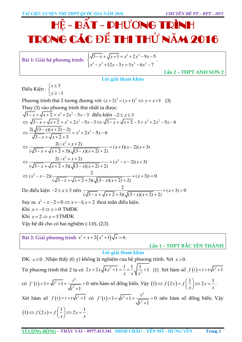
164 bài hệ phương trình khó 2016.pdf Mới
2.63Mb Xem tài liệu
1xu
Xem thêm
Tìm hiểu XSS cơ bản.pdf Mới
2.16Mb Xem tài liệu
1xu
Xem thêm
All saint men Tapper3.jpg Mới
Mb Xem tài liệu
1xu
Xem thêm
Erp là gì _ tại sao doanh nghiệp lại cần erp.ppt Mới
0.44Mb Xem tài liệu
1xu
Xem thêm
Tổng kết và chia sẽ kinh nghiệm trong đề thi dh các năm.pdf Mới
7.38Mb Xem tài liệu
  • Đang hiển thị (1753-1764 của 3654)
  • «
  • Trước đó
  • 145
  • 146
  • 147
  • 148
  • 149
  • Kế tiếp
  • »
© 2026 Cộng Đồng Y Khoa Việt Nam- Tài Liệu, Case Lâm Sàng, Hỏi Đáp Vietnam
Vietnam English
Về chúng tôi Riêng tư Liên hệ chúng tôi Thư mục