Kết quả tìm kiếm
Xem tất cả kết quả
Tham gia
Đăng nhập
Đăng ký
Chế độ ban đêm
Kho tài liệu
Tìm kiếm
Tài liệu
Tất cả
Y HỌC CƠ SỞ
NỘI KHOA
NHI KHOA
NGOẠI KHOA
SẢN KHOA
Y HỌC CỔ TRUYỀN
CẬN LÂM SÀNG
KHÁC
THPT
Cuối cùng
Cuối cùng
Giá cao
Giá thấp
Sản phẩm
1xu
Xem thêm
Ôn tập vận dụng cao tổng hợp số phức thi TN THPT 2023 môn Toán
Mới
1.61Mb
Xem tài liệu
1xu
Xem thêm
Hệ thống bài tập trắc nghiệm số phức vận dụng cao
Mới
2.90Mb
Xem tài liệu
1xu
Xem thêm
Áp dụng bất đẳng thức Minkowski giải bài toán cực trị số phức và Oxyz
Mới
0.68Mb
Xem tài liệu
1xu
Xem thêm
Tài liệu chuyên đề số phức
Mới
5.83Mb
Xem tài liệu
1xu
Xem thêm
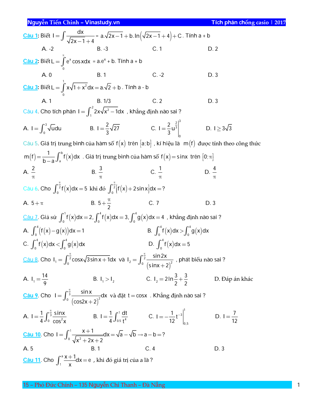
Bài tập tích phân chống Casio – Nguyễn Tiến Chinh
Mới
0.69Mb
Xem tài liệu
1xu
Xem thêm
Bộ câu hỏi tích phân chống Casio có lời giải chi tiết – Đặng Việt Hùng
Mới
0.26Mb
Xem tài liệu
1xu
Xem thêm
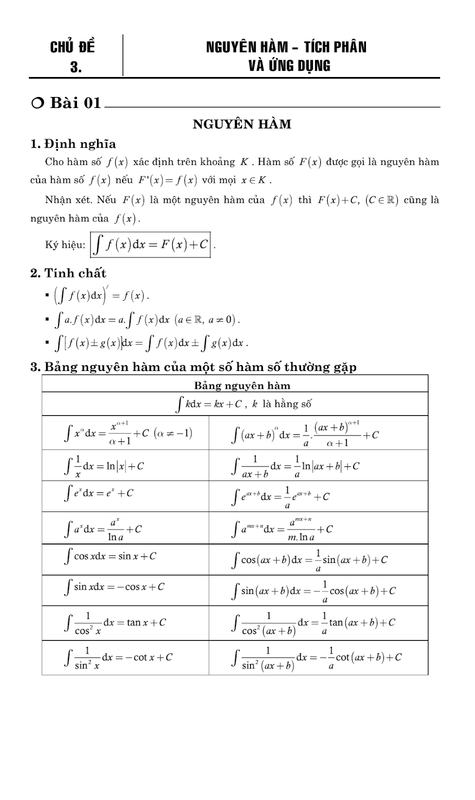
Bài tập trắc nghiệm nguyên hàm, tích phân và ứng dụng – Giáp Minh Đức
Mới
1.38Mb
Xem tài liệu
1xu
Xem thêm
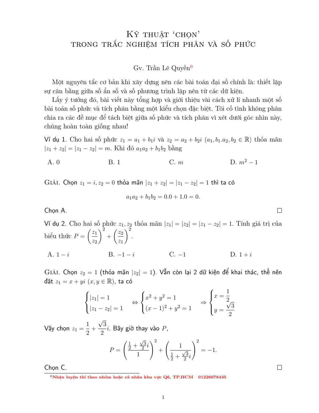
Kỹ thuật CHỌN trong trắc nghiệm tích phân và số phức – Trần Lê Quyền
Mới
0.24Mb
Xem tài liệu
1xu
Xem thêm
Hướng dẫn giải một số bài toán nâng cao về ứng dụng của tích phân – Vũ Hồng Quý
Mới
1.82Mb
Xem tài liệu
1xu
Xem thêm
Tổng hợp 414 bài tập trắc nghiệm nguyên hàm trong đề thi thử có đáp án – Trần Văn Tài
Mới
0.90Mb
Xem tài liệu
1xu
Xem thêm
Bài tập trắc nghiệm nguyên hàm, tích phân và ứng dụng – Nguyễn Phú Khánh, Huỳnh Đức Khánh
Mới
1.70Mb
Xem tài liệu
1xu
Xem thêm
Chuyên đề nguyên hàm luyện thi THPT Quốc gia 2018 – Lê Bá Bảo
Mới
3.11Mb
Xem tài liệu
Đang hiển thị (1405-1416 của 3654)
«
Trước đó
116
117
118
119
120
Kế tiếp
»