Cộng Đồng Y Khoa Việt Nam-  Tài Liệu, Case Lâm Sàng, Hỏi Đáp Cộng Đồng Y Khoa Việt Nam-  Tài Liệu, Case Lâm Sàng, Hỏi Đáp
Kết quả tìm kiếm
Xem tất cả kết quả
  • Tham gia
    Đăng nhập
    Đăng ký
    Chế độ ban đêm

Thư mục

  • Người dùng
  • Bài viết
  • Sự kiện
  • Kho kiến thức
  • Kho tài liệu
  • Hỏi đáp Y KHOA
  • Cộng đồng Y khoa
    thêm sản phẩm để bán
    2024-01-27 08:33:07
    Chuyên đề Chuyển động quay của vật rắn quanh một trục cố định.doc Mới
    Phí tải về: 1xu (xu)
    Dung lượng: 0.48Mb
    LÝ
    Những ví dụ thực tế trong Tài liệu Chuyên đề Chuyển động quay của vật rắn quanh một trục cố định.doc giúp sinh viên dễ dàng hình dung và áp dụng lý thuyết vào thực tế
    Những ví dụ thực tế trong Tài liệu Chuyên đề Chuyển động quay của vật rắn quanh một trục cố định.doc giúp sinh viên dễ dàng hình dung và áp dụng lý thuyết vào thực tế
    0 Bình luận 0 Chia sẽ 2204 Xem
    Vui lòng đăng nhập để thích, chia sẻ và bình luận và tải tài liệu
  • Cộng đồng Y khoa
    thêm sản phẩm để bán
    2024-01-27 08:33:07
    PHƯƠNG TRÌNH LƯỢNG GIÁC CÓ LỜI GIẢI CHI TIẾT.pdf Mới
    Phí tải về: 1xu (xu)
    Dung lượng: 04.09Mb
    TOÁN
    Những nội dung trong Tài liệu PHƯƠNG TRÌNH LƯỢNG GIÁC CÓ LỜI GIẢI CHI TIẾT được trình bày dễ hiểu, giúp sinh viên nhanh chóng tiếp cận và ghi nhớ kiến thức
    Những nội dung trong Tài liệu PHƯƠNG TRÌNH LƯỢNG GIÁC CÓ LỜI GIẢI CHI TIẾT được trình bày dễ hiểu, giúp sinh viên nhanh chóng tiếp cận và ghi nhớ kiến thức
    0 Bình luận 0 Chia sẽ 1682 Xem
    Vui lòng đăng nhập để thích, chia sẻ và bình luận và tải tài liệu
  • Cộng đồng Y khoa
    thêm sản phẩm để bán
    2024-01-27 08:33:07
    Lượng giác lý thuyết bài tập có lời giải.pdf Mới
    Phí tải về: 1xu (xu)
    Dung lượng: 2.49Mb
    TOÁN
    Tài liệu này không chỉ cung cấp nội dung cơ bản mà còn hướng dẫn chi tiết các khái niệm nâng cao, giúp sinh viên tự tin hơn trong học tập
    Tài liệu này không chỉ cung cấp nội dung cơ bản mà còn hướng dẫn chi tiết các khái niệm nâng cao, giúp sinh viên tự tin hơn trong học tập
    0 Bình luận 0 Chia sẽ 1618 Xem
    Vui lòng đăng nhập để thích, chia sẻ và bình luận và tải tài liệu
  • Cộng đồng Y khoa
    thêm sản phẩm để bán
    2024-01-27 08:33:07
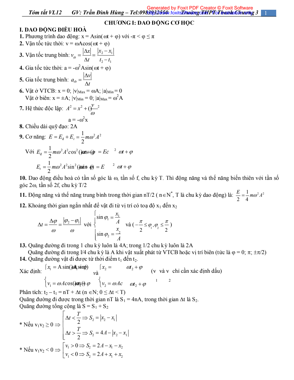
    Tóm tắt kiến thức vật lý 12.pdf Mới
    Phí tải về: 1xu (xu)
    Dung lượng: 0.42Mb
    LÝ
    Tài liệu Tóm tắt kiến thức vật lý 12 không chỉ cung cấp kiến thức nền tảng mà còn giúp sinh viên nâng cao khả năng tư duy phản biện
    Tài liệu Tóm tắt kiến thức vật lý 12 không chỉ cung cấp kiến thức nền tảng mà còn giúp sinh viên nâng cao khả năng tư duy phản biện
    0 Bình luận 0 Chia sẽ 2157 Xem
    Vui lòng đăng nhập để thích, chia sẻ và bình luận và tải tài liệu
  • Cộng đồng Y khoa
    thêm sản phẩm để bán
    2024-01-27 08:33:07
    78 đề thi môn Toán chuyên đề phương trình, hệ phương trình.pdf Mới
    Phí tải về: 1xu (xu)
    Dung lượng: 1.89Mb
    TOÁN
    Với cấu trúc rõ ràng, Tài liệu 78 đề thi môn Toán chuyên đề phương trình, hệ phương trình giúp học sinh phát triển khả năng tổ chức và quản lý thông tin hiệu quả
    Với cấu trúc rõ ràng, Tài liệu 78 đề thi môn Toán chuyên đề phương trình, hệ phương trình giúp học sinh phát triển khả năng tổ chức và quản lý thông tin hiệu quả
    0 Bình luận 0 Chia sẽ 1731 Xem
    Vui lòng đăng nhập để thích, chia sẻ và bình luận và tải tài liệu
  • Cộng đồng Y khoa
    thêm sản phẩm để bán
    2024-01-27 08:33:07
    Tổng hợp bài tập vật lý 12 theo từng chương.pdf Mới
    Phí tải về: 1xu (xu)
    Dung lượng: 0.83Mb
    LÝ
    Tài liệu Tổng hợp bài tập vật lý 12 theo từng chương không chỉ giúp sinh viên nắm vững lý thuyết mà còn cung cấp các bài tập thực hành để áp dụng
    Tài liệu Tổng hợp bài tập vật lý 12 theo từng chương không chỉ giúp sinh viên nắm vững lý thuyết mà còn cung cấp các bài tập thực hành để áp dụng
    0 Bình luận 0 Chia sẽ 2274 Xem
    Vui lòng đăng nhập để thích, chia sẻ và bình luận và tải tài liệu
  • Cộng đồng Y khoa
    thêm sản phẩm để bán
    2024-01-27 08:33:07
    LÝ THUYẾT VÀ BÀI TẬP CƠ BẢN HÌNH GIẢI TÍCH 12.pdf Mới
    Phí tải về: 1xu (xu)
    Dung lượng: 0.13Mb
    TOÁN
    Nội dung trong Tài liệu LÝ THUYẾT VÀ BÀI TẬP CƠ BẢN HÌNH GIẢI TÍCH 12 được trình bày rõ ràng, giúp học sinh dễ dàng tiếp cận và hiểu bài một cách nhanh chóng
    Nội dung trong Tài liệu LÝ THUYẾT VÀ BÀI TẬP CƠ BẢN HÌNH GIẢI TÍCH 12 được trình bày rõ ràng, giúp học sinh dễ dàng tiếp cận và hiểu bài một cách nhanh chóng
    0 Bình luận 0 Chia sẽ 1622 Xem
    Vui lòng đăng nhập để thích, chia sẻ và bình luận và tải tài liệu
  • Cộng đồng Y khoa
    thêm sản phẩm để bán
    2024-01-27 08:33:07
    Giới hạn hàm số ( phần 2 ) vô cùng bé, vô cùng lớn.pdf Mới
    Phí tải về: 1xu (xu)
    Dung lượng: 0.13Mb
    TOÁN
    Tài liệu Giới hạn hàm số ( phần 2 ) vô cùng bé, vô cùng lớn, dung lượng 0.13Mb, là nguồn tài liệu quý giá cho học sinh trong việc chuẩn bị cho các kỳ thi quan trọng
    Tài liệu Giới hạn hàm số ( phần 2 ) vô cùng bé, vô cùng lớn, dung lượng 0.13Mb, là nguồn tài liệu quý giá cho học sinh trong việc chuẩn bị cho các kỳ thi quan trọng
    0 Bình luận 0 Chia sẽ 1612 Xem
    Vui lòng đăng nhập để thích, chia sẻ và bình luận và tải tài liệu
  • Cộng đồng Y khoa
    thêm sản phẩm để bán
    2024-01-27 08:33:07
    bài tập tổng hợp hình học phẳng oxy.pdf Mới
    Phí tải về: 1xu (xu)
    Dung lượng: 0.30Mb
    TOÁN
    Với nội dung đa dạng từ cơ bản đến nâng cao, Tài liệu bài tập tổng hợp hình học phẳng oxy là nguồn tài liệu lý tưởng cho mọi đối tượng học sinh
    Với nội dung đa dạng từ cơ bản đến nâng cao, Tài liệu bài tập tổng hợp hình học phẳng oxy là nguồn tài liệu lý tưởng cho mọi đối tượng học sinh
    0 Bình luận 0 Chia sẽ 1636 Xem
    Vui lòng đăng nhập để thích, chia sẻ và bình luận và tải tài liệu
  • Cộng đồng Y khoa
    thêm sản phẩm để bán
    2024-01-27 08:33:07
    Phương pháp giải trắc nghiệm bài tập Vật lý theo chủ đề (Tập 2) – Trần Trọng Hưng.pdf Mới
    Phí tải về: 1xu (xu)
    Dung lượng: 27.45Mb
    LÝ
    Nội dung trong Tài liệu Phương pháp giải trắc nghiệm bài tập Vật lý theo chủ đề (Tập 2) – Trần Trọng Hưng được trình bày một cách sinh động, giúp học sinh dễ dàng nhớ và áp dụng kiến thức
    Nội dung trong Tài liệu Phương pháp giải trắc nghiệm bài tập Vật lý theo chủ đề (Tập 2) – Trần Trọng Hưng được trình bày một cách sinh động, giúp học sinh dễ dàng nhớ và áp dụng kiến thức
    0 Bình luận 0 Chia sẽ 2244 Xem
    Vui lòng đăng nhập để thích, chia sẻ và bình luận và tải tài liệu
  • Đang hiển thị (351-360 của 4756)
  • «
  • Trước đó
  • 34
  • 35
  • 36
  • 37
  • 38
  • Kế tiếp
  • »
© 2026 Cộng Đồng Y Khoa Việt Nam- Tài Liệu, Case Lâm Sàng, Hỏi Đáp Vietnam
Vietnam English
Về chúng tôi Riêng tư Liên hệ chúng tôi Thư mục